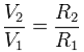
Osnovno pravilo: Naponi su proporcionalni otporima.
Formule
|
| Ovo je razdelnik napona bez opterećenja sa četiri vrednosti ulaznog napona V0, izlazni napon V2, i delioci otpornici R1 i R2. Bilo koje tri vrednosti mogu biti unete u kalkulator. Zatim će se izračunati četvrta vrednost. |
| Z2 = (α × Z1) / (1 − α) dB (level) = 20 × log α Vout = Vin × [Z2 / (Z1 + Z2)] |



